Quantifying Urban Land-Use Impacts on Suspended Sediment Particle Size Class Distribution
Suspended sediment is among the primary causes of freshwater impairment, affecting the biological, chemical, and physical health of aquatic ecosystems (Uri 2001). Excess sediment is associated with a host of aquatic ecosystem impacts including reduced transmission of sunlight, which can inhibit photosynthesis and primary productivity (Campbell et al. 2005). Too much suspended sediment can abrade or clog the gills of aquatic organisms, inhibit the feeding efficiency of filter feeders (e.g., mussels), obstruct sight-feeders (applies to most fish species), and adversely affect macroinvertebrate communities by filling streambed interstitial void spaces (Owens et al. 2005). Sediment can also be a transport mechanism for many water-quality constituents (Keyes and Radcliffe 2002).
Studies have repeatedly and conclusively shown that land-use change modifies hydrologic regimes, and accompanying erosion rates and sediment flux (Konrad and Booth 2005). While meteorological events are the primary drivers of pollution transport from nonpoint sources, anthropogenic activities such as forest harvest, cultivation, mining, and urbanization have been shown to increase both soil erosion and sediment yield by an order of magnitude or more (Walling and Fang 2003). For example, urbanization has been identified as one of the greatest detriments to aquatic ecosystem health, altering the runoff regime and accompanying pollutant transport processes (Booth et al. 2002). This may not be surprising, because the development of the urban landscape is often characterized by vegetation clearing, construction, soil compaction, ditching and draining, and expansion of impervious surfaces, all of which are known to alter runoff processes and sediment transport regimes (Booth and Jackson 1997).
Given projected global human population growth and urban expansion, coupled with increasing impacts on the quality of freshwater (Brown et al. 2005), there is an ongoing need to better understand urban impacts on water quality and stream ecosystem health to improve management of urban aquatic resources. A common measure of the extent of urbanization is imperviousness (Brown et al. 2005). Impervious surfaces can increase the frequency and magnitude of stormflows by reducing (or eliminating) the infiltration capacity of the soil, thereby increasing the volume of overland flow and transport of pollutants to receiving waters (Booth et al. 2002). As a consequence of altered overland flow processes, fine sediment is transported to channels throughout the year (Booth and Jackson 1997). This is an important observation since many of the harmful effects of excess suspended sediment are associated with fine-grained sediment particles less than 2 mm (Owens et al. 2005). A study of deposited sediment in Hinkson Creek watershed (HCW) located in central Missouri, USA, showed that the lower urban reaches of Hinkson Creek had 10 to 64% higher fine sediment (particles < 2 mm) relative to the rural portions of the creek (MDNR 2004). Hubbart and Freeman (2010) used a nested-scale experimental watershed study design to investigate suspended sediment size class distribution in Hinkson Creek. They identified a 450% increase in the concentration of the smallest particle size class (2.06 µm) in an urban stream reach during and directly following precipitation events. With a doubling of streamflow (1.4 m3/s to 2.9 m3/s) the concentration of fine sediment was more than quadrupled. This observation is important because increases in fine sediment delivery are known to significantly alter grain distribution of the streambed (Booth and Jackson 1997; Jobson and Carey 1989). Considering the potential environmental and ecological issues associated with excess fine sediment in natural watercourses, methods are urgently needed to quantify the contribution of fine-grained sediment from land-use practices such as urbanization. Such methods would greatly assist managers in targeting financially and ecologically effective mitigation strategies.
The overall objective of the following investigation was to determine if laser diffraction technology may, when coupled to physiographic information, provide a quantitative method to assess the effects of urban land use on the suspended sediment size class composition of receiving waters. Conceivably, by coupling suspended sediment particle metrics, land-use characteristics, and hydroclimatic data, it may be possible to isolate and quantify the role of specific land-use types, including urban, in the degradation of aquatic resources. It was hypothesized that particle size class distribution may provide a signature of urban land use. Sub-objectives included a) compare total concentration (µl/l), mean particle size (µm), silt volume (µl/l), and particle size class distribution between urban stormwater samples versus receiving water samples; b) compare particle distribution metrics between 17 urban stormwater sampling sites; and c) quantify the relationships of particle distribution metrics between urban stormwater sampling sites and specific characteristics of each sub-basin including drainage area (km2), total impervious surface area (km2), percent imperviousness (%).
Methods
Urban stormwater sampling sites were located within the Flat Branch catchment (FBC), an urban sub-basin (approximately 10 km2) of the HCW (231 km2) (Figure 1). Flat Branch catchment includes more than 60% of the city of Columbia, population approximately 108,000, and drains commercial, urban, and residential headwater areas consisting predominately of impervious and high- to low-density urbanization (MSDIS 2005) (Figure 1). Flow was monitored on Flat Branch Creek approximately 100 m upstream from the confluence with Hinkson Creek.
Hinkson Creek is classified as a Missouri Ozark border stream located in the transitional zone between Glaciated Plains and Ozark Natural Divisions (Thom and Wilson 1980). The creek flows approximately 42 km to its confluence with Perche Creek in a southwesterly direction, ultimately flowing into the Missouri River. Flow was monitored approximately 0.5 km upstream of the confluence of Hinkson and Flat Branch Creek at a United States Geological Survey gauging station (USGS-06910230) that has collected data since 1966. Based on analysis of climate data collected by the Midwestern Regional Climate Center from 1973 through 2012, average annual temperature and precipitation in Columbia, MO, are approximately 12.5ºC (54.5ºF) and 1,041.9 mm, respectively. Soil types for both FBC and the HCW range from thin cherty clay and silty to sandy clay in lower reaches to loamy till with a well-developed claypan in the uplands (Chapman et al. 2002).
†Nested Streams
‡Sites 15,16 paired streams
§Sites 12,13,14,15,16 nested in 11
Urban Sampling Sites. Seventeen stormwater monitoring sites were located at urban drainage outfalls. A range of urban locations was selected in collaboration with the city of Columbia Public Works Department with varying characteristics (i.e., drainage area and impervious surface) to capture landscape heterogeneity and provide a basis for comparison to receiving waters (i.e., Flat Branch and Hinkson Creeks). Table 1 lists monitoring sites numbered in order of drainage distance. Impervious surfaces included structure footprints, walkways, 8.5-m-wide roads, and parking areas. Stormwater sampling sites 1 and 2; 4, 5, and 6; and 7 and 8 were nested sites. Sites 15 and 16 were paired subcatchments colocated with sites 12, 13, and 14, which were nested above site 11 (Figure 1). FBC was delineated using ArcGIS based on a 30-m digital elevation model (DEM) assisted by Hydrology Tools and Spatial Analyst in ArcGIS. The Missouri Spatial Data Information Service (MSDIS) was utilized for land-use and land cover data for the study region. Channel mapping was conducted using National Hydrologic Data (NHD) provided by the United States Geological Survey (USGS), which classifies streams as type I Perennial, and type II Intermittent.
FB = Flat Branch Creek, HC = Hinkson Creek, † = Total
Event Sampling. Two-liter stormwater samples were collected at approximately peak flow at each of the 17 urban stormwater sampling sites during 16 runoff causing rainfall events (n = 272 stormwater samples) from February 24, 2011, to June 27, 2011. This time period corresponds to the historic wet season in Missouri (Nigh and Schroeder 2002). Daily water samples from Hinkson and Flat Branch Creeks were collected with Sigma automated samplers. Only samples collected on the dates of the 16 precipitation events were used for comparisons with stormwater samples. Stormwater samples were transported to the Interdisciplinary Hydrology Laboratory of the University of Missouri for analysis with a LISST-StreamSide. LISST devices use ring detectors to measure the angular scattering distribution of light of suspended particles (Gartner et al. 2001). The device estimates 32 particle size classes ranging from silt to very fine sand, 2.0 to 500 µm (Agrawal and Pottsmith 2000). The LISST calculates total concentration as equivalent to the total volume of particles. Mean particle size was computed by the ratio of total particle area to total particle volume (Agrawal and Pottsmith 2000). Silt volume is calculated as the volume concentration of all particles less than 64 µm. Most laser diffraction instruments, including the LISST StreamSide, estimate a volumetric concentration (i.e., µl/l) of sediment as opposed to a mass concentration (Agrawal and Pottsmith 2000). Since development, LISST instruments have been shown to provide accurate measurements of particle size distribution and concentration (Traykovski et al. 1999).
Data Analysis. Suspended sediment data were totaled for each precipitation event, analyzed independently, and aggregated for the measurement period. To better investigate temporal trends in the sediment concentrations (e.g., initial sediment flushing) and thus increase meaningfulness of the analysis, the measurement period was split into first and second half of the spring wet season (February 24, 2011, to April 25, 2011, and April 26, 2011, to June 27, 2011). Descriptive statistics were accompanied by a one-way analysis of variance (ANOVA) to detect significant differences (p < 0.05) in the mean values of the three treatment types. In the event that significant differences between sites did occur, ANOVA was followed with post hoc multiple comparison tests of specific means using Tukey’s honestly significant difference test. Investigation of relationships between land-use characteristics (total impervious area, percentage imperviousness, drainage area) and particle metrics (average total concentration, silt volume, mean particle size) was conducted using linear regression (Peck and Devore 2012).
Results and Discussion
and Flat Branch Creeks. Raindrops in precipitation graph (top) indicate precipitation event sampled.
Climate During Study. Climate from February 24, 2011, to June 27, 2011, was characteristically variable for the spring and early summer seasons in the HCW. Total precipitation, average temperature, and average flow (Q) in Hinkson Creek were approximately 449 mm, 15°C, and 3.2 m3/s, respectively (Table 2). Minimum flows differed only slightly between Hinkson Creek and Flat Branch Creek (HC: 0.15 m3/s; FB: 0.05 m3/s). Unsurprisingly, given substantial difference in drainage area, maximum and average flows of Flat Branch Creek showed considerable contrast to Hinkson Creek, which had values several orders of magnitude larger than those of Flat Branch (3.16 m3/s vs. 0.19 m3/s for average flow and 35.09 m3/s vs. 1.86 m3/s for maximum flow). Due to event timing, not every precipitation event during the study period was sampled (Figure 2). Regardless, the large sample size (16 events x 17 sites = 272 distributed stormwater samples) provided ample quantitative rigor to satisfy study objectives.
Receiving Waters and Urban Stormwater Comparison. Table 3 shows results of analyses comparing total concentration (µl/l), silt volume (µl/l), and mean particle size (µm) between urban stormwater samples, Hinkson Creek, and Flat Branch Creek. Samples from Hinkson and Flat Branch Creeks had higher total concentrations of suspended sediment (323 µl/l and 319 µl/l, respectively) than the urban sites (205 µl/l). Hinkson Creek and Flat Branch Creek also had higher silt volumes (173 µl/l and 148 µl/l, respectively) relative to the urban sites (124 µl/l). These results were not significantly different (CI = 0.05). However, the percentage of silt volume to total suspended sediment volume for urban stormwater, Flat Branch Creek, and Hinkson Creek receiving water samples (60, 46, and 53%, respectively) did show a disproportionate contribution of fine sediment from the urban environment relative to receiving water bodies. According to Tukey’s post hoc multiple comparison test results, mean particle size of urban sites (59 µm) was significantly different (p < 0.001, CI = 0.05) from mean particle size of Hinkson (131 µm) and Flat Branch (167 µm) Creeks (Table 3 and Figure 3).
FB = Flat Branch Creek (n=16)
HC = Hinkson Creek (n=16)
Booth and Jackson (1997) and Hubbart and Freeman (2010) noted the potential for urban stormwater to alter the sediment composition of receiving waters by contributing high concentrations of small particles. Specifically, Hubbart and Freeman (2010) identified a 450% increase in the concentration of the smallest size class (2 µm) in urban reaches of Hinkson Creek. In the current work, stormwater samples collected from the 17 urban stormwater outfall sites contained significantly (p < 0.001) smaller particles, as demonstrated by a mean particle size more than 55% smaller than those in receiving waters. This result also supports the findings of Freeman (2011), who showed that mean particle size was significantly smaller (p < 0.001) in urban reach samples relative to headwater or suburban reaches. While the results of Hubbart and Freeman (2010) and Freeman (2011) could in part reflect the effects of stream distance and particle erosion processes, these results support the hypothesis that urban land use may mobilize a disproportionate quantity of fine sediment relative to agricultural, rural, and wildland cover types (e.g., forest, grassland, and wetland). Certainly, the ability to identify a disproportionate contribution of fine sediment from urban areas to natural watercourses is a novel benefit of the laser diffraction technology, given that suspended sediment is considered a nonpoint-source pollutant. Interestingly, the urban samples contained 35% less total sediment than samples from receiving waters. It is worth reiterating that a reduction of suspended sediment can “starve” a watercourse, resulting in increased channel erosion, nutrient depletion, increased light penetration, and altered aquatic food webs (Walling 2008, Biedenharn et al. 1997). Such effects could constitute further adverse impacts of urban land use on aquatic ecosystems.
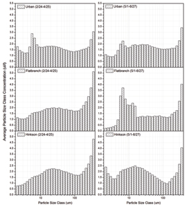
Particle size class distributions were not consistent throughout the study and showed distinct differences between the two study periods (Table 4). For example, in urban samples, silt volume declined from 134 µl/l to 118 µl/l, and mean particle size increased slightly from 57 µm to 60 µm between the two periods. This finding may be indicative of normal deposition and spring flushing processes, the dynamics of which provide impetus for future work. Both Hinkson and Flat Branch Creeks exhibited declines in concentrations of the largest three particle size classes (255.85 µm, 302.13 µm, and 356.79 µm) from the first period to the second (Figure 4). Flat Branch Creek showed an increase in the concentrations of fine sediments (size classes 5.59 µm through 15.15 µm), as did Hinkson Creek, which also showed an increase in the concentrations of the four smallest size classes (2.06 µm through 3.39 µm). It is notable that in addition to providing general information regarding the effects of land use on suspended sediment particle size class composition, this study method may also be useful for identifying temporal trends in particle size class composition, which could be used to better understand the seasonality of sediment mobilization and transport in varying land use types.
In addition to land-use impacts, the differences in suspended sediment size class distribution between the two sampling periods are also attributable to hydroclimate. The two periods of analysis were characterized by a 24% difference in total precipitation, with approximately 200 mm during the first period (February 24, 2011, to April 25, 2011) and 248 mm during the second period (April 26, 2011, to June 27, 2011). The first period was characterized by consistent precipitation and smaller events, while the second period was characterized by higher variability in precipitation, with a few large events separated by dry periods that corresponded to extended durations of low flow. Average flow (Q) for Hinkson Creek was 3.54 m3/s during the first half of the measurement period (February 24, 2011, to April 25, 2011) and 2.79 m3/s during the second half (April 26, 2011, to June 27, 2011), reflecting a reduction in flow of more than 20%. Higher flows accompanied by higher velocities are capable of mobilizing larger-sized particles, and holding higher particle concentrations in suspension (Brooks et al. 2003). Thus, the dissimilarity of particle size distributions of samples between the two sampling periods (Figure 4) is at least in part a result of suspension of large particles under higher-flow conditions.
Table 4 shows that, for the urban sites, total concentration (µl/l) and mean particle size (µm) increased from the first to the second period, while silt volume (µl/l)
FB = Flat Branch Creek
HC = Hinkson Creek
decreased. However, climate alone does not account for the contrasting pattern of the receiving waters, which instead showed decreases in total sediment concentration of more than 14% and 28% for Hinkson and Flat Branch, respectively. From the first measurement period to the second, mean particle size decreased by 6% for Flat Branch Creek and more than 31% for Hinkson Creek. Silt volume increased in the later study period by more than 43% and 53% for Hinkson and Flat Branch Creeks, respectively (Figure 4). One possible explanation for these observations is the occurrence of loading periods and flushing events in the watershed, the mechanics of which provide impetus for future research. The current work is distinct because it is one of the first studies to use laser diffraction technology to quantify spatial and temporal trends in particle fractionation related to urban land uses. Traditional methods of quantifying particle distribution are time and labor intensive (Gartner et al. 2001), and thus often prohibitive for a study of this scope. This work provides evidence that utilization of laser diffraction technology may facilitate the coupling of detailed particle fractionation and watershed-scale land-use research.
Urban Stormwater Inter-Site Comparisons. Particle distribution metrics (total concentration, mean size, silt volume) of the 17 individual urban stormwater sampling sites exhibited considerable variability (Table 5). Regression analysis showed correlations between percentage imperviousness less than 30% and mean particle size (R2 = 0.66). Weaker correlations with imperviousness greater than 30% (R2 < 0.50) could be attributable to decreased amounts of available sediment in some drainages with larger areas of impervious surfaces (Colosimo and Wilcock 2007). Silt volume was also found to be related to percentage imperviousness (R2 = 0.67). Specifically, the particle size classes ranging from 4.73 to 29.46 µm displayed R2 values ranging from 0.52 to 0.68 when regressed with total impervious cover less than 30%. Drainage areas less than 10 ha also showed strong correlations with some particle size classes. Coefficient of determination (R2) values for particle size classes 41.08 to 216.7 µm ranged from 0.51 to 0.96, with an increasing upward R2 trend with increasing particle size class. The restriction of correlation to small subcatchments is likely attributable to increasing scale coupled to increasing complexity of the mosaic of land-use types.
These results support the findings of Klein (1979), Booth and Jackson (1997), Brown et al. (2005), and Fitzgerald et al. (2012), all of whom reported links between land-use area (e.g., imperviousness and drainage area) and alterations of stream hydrology and water quality. For example, Klein (1979) reported observable aquatic impairment at 12% and severe impairment at 30% impervious surface in an urban watershed in Maryland. Booth and Jackson (1997) noted that 10% impervious surface area in a watershed produces a quantifiable and thus definable loss of aquatic ecosystem form and function. The current work corroborates these results, showing a strong connection between imperviousness and the contribution of fine sediment to receiving waters. However, the results of this study also support the work presented by Bledsoe and Watson (2001) and Colosimo and Wilcock (2007), who suggested that physical alterations in stream dynamics were affected by a combination of several competing factors. In the current work, no single land use index explained the urban subcatchment observations. Imperviousness (£ 30%) was shown to be correlated with fine sediment, while drainage area (< 10 ha) correlated strongly with larger particle fractions. Future work should address the mechanistic explanations for these observations.
Cumulative Suspended Sediment Comparisons. Figure 5 shows cumulative mass plots of suspended sediment (total concentration (µl/l), mean particle size (µm), and silt volume (µl/l)) based on overall averages of urban monitoring sites and receiving waters. The slope of the urban vs. Hinkson and Flat Branch Creeks’ trend lines for total concentration (µl/l) increases sharply after 1,000 µl/l and 2,500 µl/l, indicating a disproportionate contribution of total suspended sediment (£ 500 µl/l). A similar trend is observed at approximately 3,000 µl/l. The most visible difference between particle size class distributions is observed in mean particle size. Neither of the trend lines (urban vs. Flat Branch, urban vs. Hinkson) intersects nor parallels the 1:1 line, supporting the finding of a disproportionate contribution of fine sediment from the urban environment. Although larger precipitation events produced correspondingly higher sediment flux within Hinkson and Flat Branch Creeks, these results indicate that, on average, urban sites transported relatively consistent suspended sediment concentrations regardless of precipitation event size. This difference may suggest buffering, perhaps by engineered structures (e.g., detention facilities). These results show clear alteration of urban flow and sediment concentration regimes relative to receiving water bodies, and justify the need for longer-term investigations that monitor both sediment size class concentration and flow.
stormwater sites and receiving waters (early and late wet season) in Hinkson Creek watershed
Conclusions
Urban stormwater samples contained approximately 35% less total sediment than those from receiving waters. The percentage of silt volume to total sediment volume for urban stormwater and receiving water bodies was 60, 46, and 53%, respectively. Urban samples showed significantly smaller mean particle size (p < 0.001) with the lowest mean particle size (59 µm), which was more than 55% less than receiving waters. Fine sediment (4.73 to 29.46 µm) was shown to correlate with percentage imperviousness (£ 30%), while larger particle fractions (41.08 to 216.7 µm) correlated strongly (R2 = 0.71) with drainage area (< 10 ha). Estimated peak discharge, stream flow, precipitation, and rainfall intensity correlated weakly with particle metrics (R2 = 0.00 — 0.19), emphasizing the confounding impacts of urban land-use practices on suspended sediment regimes. Particle size class distribution analysis in receiving waters showed that silt volume increased by more than 43% and 53% for Hinkson and Flat Branch Creeks, respectively.
Results provide compelling evidence that urban stormwater runoff may contribute disproportionate quantities of fine sediment to receiving water bodies, while simultaneously starving watercourses of total sediment concentration. This study shows that the combination of laser diffraction technology, land-use characteristics, and hydroclimatic data can provide detailed, quantitative information to land and water resource managers seeking to better address the impacts of urbanization on aquatic ecosystem health and freshwater resources. Utilization of the method presented here can improve the efficacy of suspended sediment mitigation strategies while conserving financial and human resources.
Acknowledgements
Funding was provided by the US Environmental Protection Agency and the Missouri Department of Natural Resources under assistance agreement #G08-NPS-17. Content does not necessarily reflect the views and policies of EPA or the Missouri Department of Natural Resources, nor does mention of trade names or commercial products constitute endorsement of recommendation for use. Other funding and support was provided by the Missouri Department of Conservation and the city of Columbia. Special thanks are extended to scientists of the University of Missouri Interdisciplinary Hydrology Laboratory, including Thomas Smith, Edward Bulliner, John Nichols, Lynne Hooper, the city of Columbia’s Tom Wellman, Steve Hunt, John Glascock, and multiple reviewers whose comments improved the manuscript.
Literature Cited
Agrawal, Y., and H. Pottsmith. 2000. “Instruments for Particle Size and Settling Velocity Observations in Sediment Transport.” Marine Geology 168:89–114.
Biedenharn, D. S., C. M. Elliott, and C. C. Waston. 1997. The WES Stream Investigation and Streambank Stabilization Handbook. Vicksburg, MS: US Army Engineer Waterways Experiment Station.
Bledsoe, B., and C. Watson. 2001. “Effects of Urbanization on Channel Instability.” Journal of the American Water Resources Association 37:255–70.
Booth, D., and C. Jackson. 1997. “Urbanization of Aquatic Systems: Degradation Thresholds, Stormwater Detection, and the Limits of Mitigation.” Journal of the American Water Resources Association 33:1077–90.
Booth, D., D. Hartley, and R. Jackson. 2002. “Forest Cover, Impervious Surface Area, and the Mitigation of Stormwater Impacts.” Journal of the American Water Resources Association 38:835–45.
Brooks, K., P. Ffolliott, H. Gregersen, and L. DeBano. 2003. Hydrology and the Management of Watersheds. 3rd edition. Blackwell Publishing.
Brown, L., R. Gray, R. Hughes, and M. Meador. 2005. “Introduction to the Effects of Urbanization on Stream Ecosystems.” American Fisheries Society Symposium 47:1–8.
Campell, C., D. Laycak, W. Hoppes, N. Tran, and F. Shi. 2005. “High Concentration Suspended Sediment Measurements Using a Continuous Fiber Optic In-Stream Transmissometer.” Journal of Hydrology 311:244–53.
Chapman, S., J. Omernik, G. Griffith, W. Schroeder, T. Nigh, and T. Wilton. 2002. Ecoregions of Iowa and Missouri (color poster with map, descriptive text, summary tables, and photographs). Reston, VA: US Geological Survey (map scale 1:1,800,000).
Colosimo, M., and P. Wilcock. 2007. “Alluvial Sedimentation and Erosion in an Urbanizing Watershed, Gwynn Falls, Maryland.” Journal of the American Water Resources Association 43:499-521.
Fitzgerald, E., W. Bowden, S. Parker, and M. Klein. 2012. “Urban Impacts on Streams are Scale-Dependent with Nonlinear Influences on Their Physical and Biotic Recovery in Vermont, United States.” Journal of the American Water Resources Association 48:679–97.
Freeman, G. 2011. Quantifying Suspended Sediment Loading in a Mid-Missouri Urban Watershed Using Laser Particle Diffraction. Master’s Thesis, University of Missouri, Columbia, MO.
Gartner, J., R. Cheng, P. Wang, and K. Richter. 2001. “Laboratory and Field Evaluations of the LISST-100 Instrument for Suspended Particle Size Determinations.” Marine Geology 179:1499–219.
Hubbart, J., and G. Freeman. 2010. “Sediment Laser Diffraction: A New Approach to an Old Problem in the Central United States” Stormwater 11(7):36–44.
Jobson, H., and W. Carey. 1989. “Interaction of Fine Sediment with Alluvial Streambeds.” Water Resources Research 25:135–40.
Keyes, A., and D. Radcliffe. 2002. A Protocol for Establishing Sediment TMDLs. Atlanta, GA: The Georgia Conservancy. 31 pp.
Klein, R. 1979. “Urbanization and Stream Quality Impairment.” Water Resources Bulletin 15:948–963.
Konrad, C., and D. Booth. 2005. “Hydrologic Changes in Urban Streams and Their Ecological Significance.” American Fisheries Society Symposium 47:157–77.
MDNR (Missouri Department of Natural Resources). 2004. Hinkson Creek Stream Study (Phase I). Columbia, MO: Boone County. Missouri Department of Natural Resources.
MSDIS (Missouri Spatial Data Information Service). 2005. MSDIS Data Theme Listing. Available at http://msdis.missouri.edu/datasearch/ThemeList.jsp.
Nigh, T., and W. Schroeder. 2002. Atlas of Missouri Ecological Sections. Missouri Department of Conservation.
Owens, P., R. Batalla, A. Collins, B. Gomez, D. Hicks, A. Horowitz, G. Kondolf, M. Marden, M. Page, D. Peacock, E. Petticrew, W. Salomons, and N. Trustrum. 2005. “Fine-Grained Sediment in River Systems: Environmental Significance and Management Issues.” River Research and Applications 21:693–717.
Peck, R., and R. Devore. 2012. Statistics: The Exploration and Analysis of Data. 7th Edition. Boston, MA: Cengage Learning.
Thom, R., and J. Wilson. 1980. “The Natural Division of Missouri.” Transactions, Missouri Academy of Sciences 14:1–23.
Traykovski, P., R. Latter, and J. Irish. 1999. “A Laboratory Evaluation of the Laser In Situ Scattering and Transmissometery Instrument Using Natural Sediments.” Marine Geology 159:355–67.
Uri, N. 2001. “The Environmental Implications of Soil Erosion in the United States.” Environmental Monitoring and Assessment 66:293–312.
Walling, D., and D. Fang. 2003. “Recent Trends in the Suspended Sediment Loads of the World’s Rivers.” Global and Planetary Change 39:111–26.
Walling, D. 2008. The Changing Sediment Loads of the World’s Rivers. Land Reclamation 39:3–20.














