Trees and forest systems play an important role in the water cycle by intercepting rainfall and regulating water flow to the soil for more efficient stormwater infiltration. Traditional urban development practices have reduced the function of these systems by eliminating the vertical structure (tree canopy cover), removing existing ground cover and pervious soils, and compacting the remaining soil to better accommodate impervious surfaces. As municipalities begin to accept low-impact development (LID) and green stormwater infrastructure practices as a viable strategy to manage stormwater runoff, stormwater managers and design engineers need to better understand how effective trees and urban forest systems are at mitigating stormwater runoff and how management of these natural systems can reduce stormwater runoff and pollutant loading.
Current research has provided valuable information that stormwater professionals can use to mitigate runoff. This article reviews the most current research regarding the volume of rainfall retained by tree canopy; the impacts of foliar detention on stormwater runoff lag time, peak flow, and velocity; water volume removed from the soil through transpiration; and nutrient uptake by trees. Using this research, the stormwater runoff reduction function of trees will be discussed. Because many municipal codes incorporate tree ordinances in order to preserve such function, but allow for LID best management practices (BMPs) to supplement canopy preservation, there is a need for practitioners to quickly estimate tree impacts on stormwater and equate to the function of engineered systems. A method for estimating tree function and equating to BMP design capacity is discussed. The information in this article will give stormwater professionals a basis for including urban forest systems in their stormwater management projects.
During storm events over a forested area, the vertical component, made up of foliage and branches, intercepts rain. Some of this intercepted rain is retained in the canopy and eventually evaporated back into the atmosphere. The majority is temporarily detained, eventually falling to the ground as throughfall or stemflow, essentially regulating stormwater volume to soil. Smaller trees or shrubs under the canopy as well as ground cover such as herbs or mulch also retain a portion of that throughfall, thus storing water and regulating its flow into the soil. Soils within these systems allow stormwater to infiltrate where it is free to move laterally, depending on slope, and vertically. This stored water in the soil is made available to the trees through transpiration, through which it is released back to the atmosphere.
Predevelopment forests have been shown to retain significantly more stormwater runoff than developed areas (Boggs and Sun 2011). Uncompacted soils in predeveloped areas allow for greater water storage and movement belowground for vegetation and tree roots to access (Natural Resources Conservation Service 2000). Because of the need for aboveground parcel-shaping and equipment maneuverability, developers typically remove trees, groundcover, and topsoil. Likewise, due to the need for stability, soils are compacted, thus restricting water storage and movement within the soil and leading to increased water runoff by overland flow. This increased runoff from developed areas can lead to localized flooding and decreased water quality. Maintaining or restoring forest systems in our developed areas could help alleviate these problems.
LID and green infrastructure (GI) are intended to mimic predevelopment hydrology. Using trees or urban forest systems in conjunction with these LID/GI practices, municipalities can help to restore predevelopment hydrology and reduce the amount of stormwater needing to be treated.
Foliar Rainfall Retention
Open-grown trees, as found predominantly in municipalities, generally have greater leaf area than comparable sized trees grown in forested stands. Because of this, municipal trees have been shown to retain greater rainfall volume than trees in forests (Xiao et al. 2000, Asadian and Weiler 2009). Urban trees have been shown to retain from 20% of the annual rainfall where rainfall volume and intensity can be great, such as in the southeastern United States (Inkilainen et al. 2013), to as much as 80% in regions with relatively light rainfall intensity and volume, such as in the Pacific Northwest (Asadian 2010). Coniferous trees (i.e., pine) tend to retain greater volumes than deciduous trees (Xiao et al. 2000).
Leaf area primarily drives retention volume. Xiao and McPherson (2016) reported an average depth of water retention for broadleaf tree species typically found in Davis, CA, to be approximately 0.8 millimeter. However, Wang et al. (2008) use a much more conservative value of 0.2 millimeter for their hydrology model, i-Tree Hydro, explaining that this is an average value calculated from another review article. Larger trees often have greater leaf area, which provides greater rainfall retention. Foliated tree canopies can retain the first 2 to 4 millimeters of a rainfall event (Livesley et al. 2014).
Foliar Rainfall Detention
As the leaf surface area in the crown becomes filled, rain drips from the leaves and through the crown (throughfall) or travels along the branches and stem (stemflow) to the ground. Storm intensity and leaf area are the primary factors driving this delay in stormwater runoff (Keim et al. 2006). Delay in throughfall has been shown to be from 10 minutes after the start of the rainfall event in regions with greater rainfall intensity to as long as three hours with less intense rainfall events (Aston 1979, Xiao et al. 2000, Asadian 2010). Intensity of rainfall, measured as inches of rainfall over time, was shown to be 15 to 20% lower under tree canopy cover compared to open environments in forested land cover studies in West Virginia and in the Pacific Northwest (Trimble and Weitzman 1954, Keim and Skaugset 2003).
By increasing lag time between initiation of rainfall and peak runoff and reducing rainfall intensity, urban forest systems may help stormwater control measures reach their full capability to infiltrate and store stormwater runoff. A tree canopy’s ability to temporarily detain rainfall can be seen as a type of flow control tool that could be used to meter runoff volume, thus minimizing velocity to stormwater infrastructure. This would reduce their incidences of inundation.
Transpiration
The process by which groundwater is returned to the atmosphere through plants is called transpiration. It is driven by soil moisture content, leaf area, and the effects of the microclimate such as light intensity, ambient air temperature, and wind. Through transpiration, water is removed primarily from soil macropores, allowing more space belowground to store subsequent stormwater runoff.
Urban trees have been shown to transpire up to 2.2 millimeters of soil water per day per square meter of projected tree canopy cover (Pataki et al. 2011) in a Mediterranean climate; however, that range was highly dependent on soil moisture. In a more temperate climate in northeastern China, average transpiration rates of 1.3 to 1.5 millimeters per day per square meter of projected tree canopy cover during the growing season were reported (Chen et al. 2011, Wang et al. 2012). Essentially, greater soil moisture content allows for more water to be transpired.
Nutrient Uptake
To function properly, trees require nitrogen, in the form of nitrate (NO3-) and ammonium (NH4+), and phosphorus, in the form of orthophosphates (H2 PO4– and HPO42-). Stormwater runoff can contain these pollutants through overfertilization of lawns, pet waste, and vegetative debris. In a mesocosm study using engineered soils in Australia, it was shown that trees reduced NOx by up to 78%, averaged over time, in slower-draining systems compared to unplanted controls (Denman et al. 2016). Results were highly variable and depended on soil porosity. Trees grown in faster-draining soils were not as effective at removing nitrogen from stormwater during the growing season as trees grown in slower-draining soils, but were more effective than the unplanted controls. Filterable reactive phosphorus (FRP) concentration of stormwater was reduced by an average of 80%, averaged over time, compared to unplanted control systems. Removal of the FRP component was much less variable than that of nitrogen. These results are comparable to results related to trees in other similar studies (Bratieres et al. 2008, Read et al. 2008).
Stormwater Runoff Reduction Function of Trees
Tree ordinances have been incorporated into municipal codes in order to preserve the function of trees, including stormwater capture. At the same time, post-construction BMPs are often a requirement of the MS4 permit. Within developments, there are often limited resources, notably space, for either canopy preservation or stormwater BMPs. Therefore, there is a need for practitioners to quickly estimate tree impacts on stormwater and equate to the function of engineered systems. To compare the stormwater function of canopy preservation and engineered BMPs, the stormwater capture of each system needs to be quantified with a standard methodology. While the function of engineered systems is easily quantified by the design specifications of the water-quality capture volume (Guo et al. 2014), it is less common to quantify the stormwater function of preserved canopy as part of the development design process. To satisfy this need and fill the gap, a standard methodology for quantifying the stormwater function of preserved canopy is proposed. Ideally, this standard can be easily communicated and users would be familiar with the basic concepts.
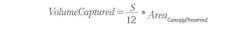
The development design community routinely uses methods such as TR-55 (USDA 1986) to estimate the runoff potential from various land cover types, including large areas with tree cover or forested areas. Sorptivity, the potential maximum stormwater retention (S in inches), can be used as a surrogate for stormwater function. This term, defined as the maximum amount of rainfall that does not run off, can be calculated as:
where CN is the curve number parameter for forested areas dependent on soil types. This parameter is often interpreted to account for infiltration and rainfall interception by vegetation. When used in conjunction with the area of preserved canopy (square feet), the volume of stormwater capture can be calculated as:
where the units have been corrected for volume to be reported in cubic feet. Using this, a rough estimate of the stormwater function of canopy preservation and urban trees can be made and the volume treated directly compared to the volume of an engineered structure.
The development review process for many municipalities often includes canopy requirements, but it incentivizes constructed stormwater BMPs by allowing credit toward canopy requirements. By using the above method, the credit for engineered systems can be made based on the equivalent function of canopy preservation. This method builds on established methods commonly used within the development design process, therefore improving familiarity and acceptance within the design community.
It should be noted that the function of trees in urban environments, where soils below canopy could be impacted by compaction or impervious cover, would vary from the performance of forested areas as defined by the curve number parameter. Therefore, it is important that curve numbers for varying density and conditions of urban trees be developed to provide an appropriate parameterization of the above model. Furthermore, the estimates resulting from this model would ideally be compared to observations of the various tree canopy function enumerated above, including retention, detention, and transpiration. Also note that water-quality functions by the canopy or the engineered control, such as nutrient uptake, are not considered in this estimation. Future research that would allow for quantification of the water-quality treatment function of urban trees would be key to incorporating urban forest systems in the full suite of stormwater BMPs.
Conclusion
Forest systems are an important part of the hydrologic cycle. These systems efficiently store stormwater, return water to the atmosphere, and filter pollutants from runoff. Retaining forest systems during construction and returning forest structure to the built environment can help mitigate stormwater runoff, improve water quality, and conserve stormwater as a natural resource. When this is assessed during the planning phase of land development projects, cost efficiencies can be realized by quantifying and utilizing the multiple benefits of existing forest stands. Identifying areas for forest retention before construction and actively conserving them is a good first step. Replacing tree canopy cover and forest systems where possible and appropriate after construction can further help increase rainfall retention/detention and thus regulate the flow of runoff to stormwater BMPs. By considering tree canopy as a best management practice to be designed with its performance quantified, direct comparisons can be made with engineered and constructed systems. This creates a process by which designers and engineers can not only make accurate assessments of the function and benefit of tree canopy to the project but also effectively communicate this information to the regulatory and planning community.
References
Asadian, Y., and M. Weiler. 2009. “A New Approach in Measuring Rainfall Intercepted by Urban Trees in Coastal British Columbia.” Water Quality Research Journal of Canada 44:16–25.
Asadian, Y. 2010. Rainfall Interception in an Urban Environment. Master of Science Thesis, University of British Columbia, Vancouver, BC.
Aston, A. R. 1979. “Rainfall Interception by Eight Small Trees.” Journal of Hydrology 42:383–96.
Boggs, J. L. and G. Sun. 2011. “Urbanization Alters Watershed Hydrology in the Piedmont of North Carolina.” Ecohydrology 4:256–64.
Bratieres, K., T. D. Fletcher, A. Deletic, and Y. Zinger. 2008. “Nutrient and Sediment Removal by Stormwater Biofilters: A Large-Scale Design Optimization Study.” Water Research 42:3930–40.
Chen, L., Z. Zhang, Z. Li, J. Tang, P. Caldwell, and W. Zhang. 2011. “Biophysical Control of Whole Tree Transpiration Under an Urban Environment in Northern China.” Journal of Hydrology 402:388–400.
Denman, E. C., P. B. May, and G. M. Moore. 2016. “The Potential Role of Urban Forests in Removing Nutrients From Stormwater.” Journal of Environmental Quality 45(1):207–14.
Guo, J., B. Urbonas, and K. MacKenzie. 2014. “Water Quality Capture Volume for Storm Water BMP and LID Designs.” Journal of Hydrologic Engineering 10.1061/(ASCE)HE.1943-5584.0000847, 682–86.
Inkilainen, E. N. M., M. R. McHale, G. B. Blank, A. L. James, and E. Nikinmaa. 2013. “The Role of the Residential Urban Forest in Regulating Throughfall: A Case Study in Raleigh, North Carolina, USA.” Landscape and Urban Planning 119:91–103.
Keim, R. F. and A. E. Skaugset. 2003. “Modelling Effects of Forest Canopies on Slope Stability.” Hydrological Processes 17:1457–67.
Keim, R. F., A. E. Skaugset, and M. Weiler. 2006. “Storage of Water on Vegetation Under Simulated Rainfall of Varying Intensity.” Advances in Water Resources 29:974-986.
Livesley, S. J., B. Baudinette, and D. Glover. 2014. “Rainfall Interception and Stem Flow by Eucalypt Street Trees – The Impacts of Canopy Density and Bark Type.” Urban Forestry & Urban Greening 13:192–97.
NRCS. 2000. Soil Quality. Urban Technical Note No. 2, www.nrcs.usda.gov/Internet/FSE_DOCUMENTS/nrcs142p2_053278.pdf, accessed February 24, 2016.
Pataki, D. E., H. R. McCarthy, E. Litvak, and S. Pincetl. 2011. “Transpiration of Urban Forests in the Los Angeles Metropolitan Area.” Ecological Applications 21(3):661–77.
Read, J., T. Wevill, T. Fletcher, and A. Deletic. 2008. “Variation Among Plant Species in Pollutant Removal From Stormwater in Biofiltration Systems.” Water Research 42:893–902.
Trimble Jr., G. R., and S. Weitzman. 1954. “Effect of a Hardwood Forest Canopy on Rainfall Intensities.” Transactions, American Geophysical Union 35:226–34.
USDA. 1986. Urban Hydrology for Small Watersheds. Technical Release 55 (TR-55) (Second ed.). Natural Resources Conservation Service, Conservation Engineering Division.
Wang, J. W., T. A. Endreny, and D. J. Nowak. 2008. “Mechanistic Simulation of Tree Effects in an Urban Water Balance Model.” Journal of the American Water Resources Association 44:75–85.
Wang, H., X. Wang, P. Zhao, H. Zheng, Y. Ren, F. Gao, and Z. Ouyang. 2012. “Transpiration Rates of Urban Trees, Aesculus chinensis.” Journal of Environmental Sciences 24(7):1278–87.
Xiao, Q., G. McPherson, S. L. Ustin, M. E. Grismer, and J. R. Simpson. 2000. “Winter Rainfall Interception by Two Mature Open-Grown Trees in Davis, California.” Hydrological Processes 14:763–84.
Xiao, Q., and E. G. McPherson. 2016. “Surface Water Storage Capacity of Twenty Tree Species in Davis, California.” Journal of Environmental Quality 45:188–98.







